Is Scafell Pike snowsure?
The snowiest week in Scafell Pike is week 2 of February. There are typically 3.2 snowy days during this week with 14 cm of snowfall. Check out the Scafell Pike Snow History graphs below. Select any week of the year to see the typical Ski Conditions, Snowfall Amount and Temperature based on nowcast weather data over the last 11 years.Average monthly snow in Scafell Pike
| Month | Snow amount (week) | Snow days (week) |
|---|---|---|
| December | 11 cm | 2.6 days |
| January | 12 cm | 3.0 days |
| February | 11 cm | 2.8 days |
| March | 9 cm | 2.5 days |
| April | 4 cm | 1.6 days |
Average Snow and Weather Conditions in Scafell Pike during May (week 3):
The average snowfall forecast during week 3 of May for Scafell Pike is 0 cm. There are typically 0.3 snowy days during this week. Scafell Pike prevailing weather and snow conditions during the third week of May at the middle elevation of the ascent of the mountain at 902m, based on historical averages over the last 18 years: At this time of year the normal freezing level (2011m) is well above the middle elevation of Scafell Pike. A day with snowfall occurs on average every other year during the third week of May but it rains much more frequently, with rain falling on three or four days during this particular week of May. In the years when snow falls at this time of year, forecast model average snowfall for the week is 0cm. Temperatures averaging above freezing both night and day in Scafell Pike during week three of May with average maximum temperature 6.6°C and minimum temperature 5.7°C at the middle elevation. On average, two days out of seven will have some sunshine. Mostly light winds (average 19km/h) but you can expect the mean wind to reach 30km/h one day per week.
Snow History: Compare Resorts
Scafell Pike Snow Depths
Recorded snow depths for the upper and lower slopes in Scafell Pike and (2007 – 2026).
The most cherished days on the mountain in Scafell Pike are Bluebird Powder days when it is mostly sunny with light winds following very recent snowfall. Poorer weather conditions may prevail on Powder days when the visibility can be limited but the snow is significantly deep and fresh for keen powder-hounds. Bluebird days can suit many skiers that aren’t necessarily hunting powder but want to enjoy the snowy mountains in sunnier conditions and light winds.
The snowiest weeks of the year in Scafell Pike are shown but also bear in mind the number of days that it typically snows each week if you want regular fresh tracks. The risk of a rainy day is shown but be sure to switch between elevations to see if lower lifts are rain affected or higher lifts remain snowy despite any rain further down the mountain.
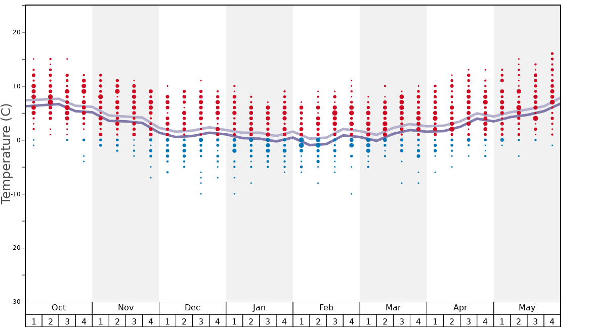
The highest and lowest temperatures averaged for each week of the year in Scafell Pike are shown. Check out the risk of freze-thaw conditions prevailing at different elevations for any given week. We also show the extremes of temperature (blue/red dots) that reveal the chance of unusually warm or cold conditions.





