Is Asarigawa Onsen snowsure?
The snowiest week in Asarigawa Onsen is week 4 of December. There are typically 6.4 snowy days during this week with 46 cm of snowfall. Check out the Asarigawa Onsen Snow History graphs below. Select any week of the year to see the typical Ski Conditions, Snowfall Amount and Temperature based on nowcast weather data over the last 11 years.Average monthly snow in Asarigawa Onsen
| Month | Snow amount (week) | Snow days (week) |
|---|---|---|
| December | 35 cm | 5.6 days |
| January | 40 cm | 6.4 days |
| February | 34 cm | 5.9 days |
| March | 16 cm | 4.4 days |
| April | 3 cm | 1.1 days |
Average Snow and Weather Conditions in Asarigawa Onsen during April (week 4):
The average snowfall forecast during week 4 of April for Asarigawa Onsen is 1 cm. There are typically 0.4 snowy days during this week.Asarigawa Onsen expected weather and snow conditions during the last week of April at the middle elevation of the ski area at 285m, based on historical averages over the last 17 years: At this time of year the average freezing level (1535m) is far above the middle elevation of Asarigawa Onsen. A day with snowfall occurs on average every other year during the last week of April but in an average year there are two or three days during this particular week each year that are wet. In the years when snow falls at this time of year, forecast model average snowfall for the week is 2cm. Temperatures averaging above freezing both night and day in Asarigawa Onsen during week four of April with average maximum temperature 7.8°C and minimum temperature 6.1°C at the middle elevation. On average, two days out of seven will have some sunshine. Mainly light winds (average 16km/h) are unlikely to affect lift operations but there is a 50% chance that the mean wind speed will be greater than more than 30km/h one day. Based on our hindcast archive, we do not expect any fresh snow days or any bluebird days at the middle elevation of the ski area of Asarigawa Onsen at this time of year.
Snow History: Compare Resorts
Asarigawa Onsen Snow Depths
Recorded snow depths for the upper and lower slopes in Asarigawa Onsen and (2007 – 2024).
The most cherished days on the mountain in Asarigawa Onsen are Bluebird Powder days when it is mostly sunny with light winds following very recent snowfall. Poorer weather conditions may prevail on Powder days when the visibility can be limited but the snow is significantly deep and fresh for keen powder-hounds. Bluebird days can suit many skiers that aren’t necessarily hunting powder but want to enjoy the snowy mountains in sunnier conditions and light winds.
The snowiest weeks of the year in Asarigawa Onsen are shown but also bear in mind the number of days that it typically snows each week if you want regular fresh tracks. The risk of a rainy day is shown but be sure to switch between elevations to see if lower lifts are rain affected or higher lifts remain snowy despite any rain further down the mountain.
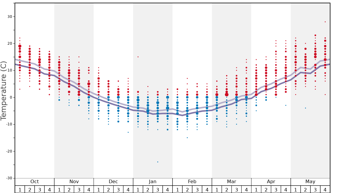
The highest and lowest temperatures averaged for each week of the year in Asarigawa Onsen are shown. Check out the risk of freze-thaw conditions prevailing at different elevations for any given week. We also show the extremes of temperature (blue/red dots) that reveal the chance of unusually warm or cold conditions.





