Is Tyax Lodge & Heliskiing snowsure?
The snowiest week in Tyax Lodge & Heliskiing is week 3 of November. There are typically 4.1 snowy days during this week with 25 cm of snowfall. Check out the Tyax Lodge & Heliskiing Snow History graphs below. Select any week of the year to see the typical Ski Conditions, Snowfall Amount and Temperature based on nowcast weather data over the last 11 years.Average monthly snow in Tyax Lodge & Heliskiing
| Month | Snow amount (week) | Snow days (week) |
|---|---|---|
| December | 16 cm | 4.0 days |
| January | 17 cm | 3.8 days |
| February | 14 cm | 4.0 days |
| March | 17 cm | 4.9 days |
| April | 14 cm | 4.4 days |
Average Snow and Weather Conditions in Tyax Lodge & Heliskiing during April (week 4):
The average snowfall forecast during week 4 of April for Tyax Lodge & Heliskiing is 10 cm. There are typically 4.0 snowy days during this week.Tyax Lodge & Heliskiing expected weather and snow conditions during the last week of April at the middle elevation of the heli-ski area at 1902m, based on historical averages over the last 17 years: At this time of year the expected freezing level (1704m) is similar to the mid altitude of Tyax Lodge & Heliskiing. Regular fresh snowfalls can be relied on in Tyax Lodge & Heliskiing at the end of April. On average, expect four days with snowfall per week but rain is also known at this time of year: you can expect on average one rainy day every 5 years during this week of April. Forecast model average snowfall for the week is 10cm. Temperatures should generally remain a few degrees below freezing. Average maximum temperature at the mid altitude in Tyax Lodge & Heliskiing during week four of April is -0.7°C while the average minimum temperature is just -2.6°C. On average, only one or two days with sunshine per week. Generally light winds (average 11km/h). Below-freezing, calm and sunny ideal weather days that follow fresh snow (bluebird powder days) occur on average one day every second year during this week but sunny, calm and below-freezing days that don't have new snow occur on average one or two days during this week in any given year.
Snow History: Compare Resorts
Tyax Lodge & Heliskiing Snow Depths
Recorded snow depths for the upper and lower slopes in Tyax Lodge & Heliskiing and (2007 – 2024).
The most cherished days on the mountain in Tyax Lodge & Heliskiing are Bluebird Powder days when it is mostly sunny with light winds following very recent snowfall. Poorer weather conditions may prevail on Powder days when the visibility can be limited but the snow is significantly deep and fresh for keen powder-hounds. Bluebird days can suit many skiers that aren’t necessarily hunting powder but want to enjoy the snowy mountains in sunnier conditions and light winds.
The snowiest weeks of the year in Tyax Lodge & Heliskiing are shown but also bear in mind the number of days that it typically snows each week if you want regular fresh tracks. The risk of a rainy day is shown but be sure to switch between elevations to see if lower lifts are rain affected or higher lifts remain snowy despite any rain further down the mountain.
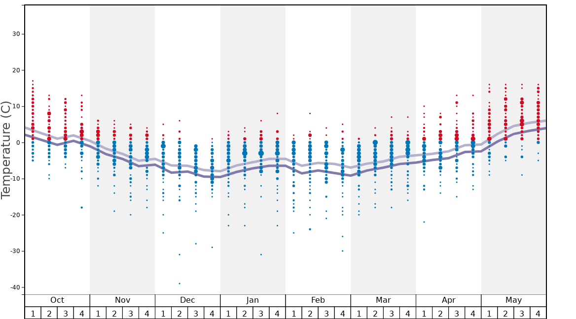
The highest and lowest temperatures averaged for each week of the year in Tyax Lodge & Heliskiing are shown. Check out the risk of freze-thaw conditions prevailing at different elevations for any given week. We also show the extremes of temperature (blue/red dots) that reveal the chance of unusually warm or cold conditions.





